Handling powder materials is a fundamental and critical task in industrial production. While powders may seem simple, they actually constitute a complex three-phase system, comprising a solid phase (the particles themselves), a gas phase (air within the inter-particle spaces), and a liquid phase(moisture or other liquids adsorbed on the particle surfaces). Efficiently and continuously processing this types of material has long been a significant engineering challenge.
Fluidization conveying technology serves as a key solution by endowing powders with macroscopic, fluid-like characteristics, thereby providing robust technical support for the powder transport process.

Basic Principles
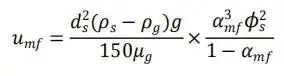
Fluidization is a physical process where solid particles are lifted and suspended by an upward-flowing fluid (typically a gas), causing the entire particle bed to exhibit fluid-like flow characteristics. When the gas velocity rising through the particle bed reaches a critical value known as the minimum fluidization velocity (Umf), the upward drag force acting on the particles balances their own weight.
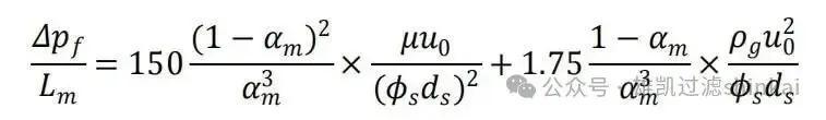
According to the classical theory for pressure drop in fixed fluidized beds, the determining equation for the minimum fluidization velocity (Umf) of powders is as follows:

Lm is the bed height (m), Δpf is the frictional pressure drop (Pa), μg is the gas viscosity (kg/(m·s)), ρg is the gas density (kg/m3), ds is the particle diameter (m), am is the bed voidage, and u0 is the superficial gas velocity (m/s).For small particles (Reynolds number at minimum fluidization, Res,mf < 20):

For very large particles (Res,mf > 1000):

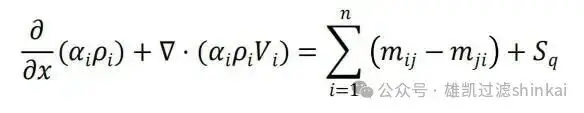
Once the gas velocity exceeds the Umf, particles move freely within the bed. The entire system enters a fluidized state, forming a fluidized bed that displays liquid-like behavior, such as maintaining a horizontal surface and being able to flow out from a side outlet. In Computational Fluid Dynamics (CFD), the Eulerian method is a fundamental approach for describing fluid motion. This method describe the gas-solid two-phase flow within a fluidized bed as follows:

As the gas velocity continues to increase, the fluidized bed undergoes a series of distinct flow regimes, characterized as follows:
Classification of Fluidization Regimes
■ Particulate Fluidization (Homogeneous Fluidization): The most ideal state, where particles are uniformly dispersed without visible bubbles.
■ Aggregative Fluidization (Bubbling Fluidization): The most common regime in gas-solid systems, where excess gas passes through the bed in the form of bubbles.
■ Slugging Fluidization: Bubbles coalesce into large slugs, leading to poor operational stability, which is typically avoided in real industrial scenarios.
■ Turbulent Fluidization: Characterized by intense bubble breakup, significantly improving gas-solid contact efficiency; this is the ideal regime targeted by industrial reactors.
■ Spouted Fluidization: A special fluidization form suitable coarse particles, forming a central spout and an annular downflow region.
A Double Sword: Advantages and Challenges
Based on the aforementioned unique fluidization behaviors, fluidized bed reactors have become indispensable in modern industrial scenarios with its conspicuous advantages and disadvantages.
▶ Major Technical Advantages
✔ Continuous and Automated Process: Enables continuous conveying, mixing, and reaction of solid materials on a large scale.
✔ Uniform and Controllable Temperature: Even bed temperature distribution suitable for highly exothermic/endothermic chemical reactions.
✔ High Reaction Rates: The vast gas-solid contact area significantly enhances reaction efficiency.
✔ Large-scale Continuous Production: Capable of handling large volumes of material with reliable flow, ideal for continuous operation.
✔ Relatively Short Drying Times: Enhanced gas-solid interaction improves the efficiency of drying, coating, or reaction processes.
✔ Lower Maintenance and Operating Cost: Reduces fuel consumption and improves equipment operability and maintainability.
▶ Core Challenges and Limitations
✘ Severe Backmixing: Leads to mixing of reaction products with feedstock, reducing reaction rate and selectivity.
✘Difficulty in Establishing Temperature Gradients: Poses limitations for processes requiring temperature control in different zones.
✘Particle Attribution and Erosion: Increases equipment investment and operating costs.
The Core Element of Fluidization: The Dual Role and Control of Bubbles
In Fluidized systems, bubbles are the fundamental factor determining overall system behavior, including hydrodynamic properties, heat transfer, mass transfer, and chemical reaction performance.
▶Positive Effects
✔ Enhance Heat/Mass Transfer and Reaction: Bubble movement promotes interphase exchane, improving heat and mass transfer.
✔ Promote Particle Mixing: The wake of bubbles is the main drive for axial particle mixing within the bed.
▶Negative Effects
✘ Gas Short-Circuiting: Excessively large bubbles lead to reduced gas utilization efficiency.
✘ Uneven Contact: Separation between the bubble phase and the emulsion phase limits gas-solid contact efficiency.
Therefore, precise control of bubble behavior is a core element of powder fluidization and conveying technology to maximize the advantage of fluidized beds and overcome their limitations
Shinkai’s Solutions: Precision Control of Fluidization
The modern engineering world now has precise control methods as responds to the inherent challenges of fluidized beds, particularly the negative effects of bubbles and issues like agglomeration, bridging and clogging in powder conveying.
The Shinkai Powder Fluidization and Handling System is a representative solution for these demanding conditions. Its core lies in using high-performance porous materials to achieve active intervention and optimization of the fluidization process.

▶ Suppressing Bubbles at the Source: Achieving Efficient Reactor Contact
The root causes of “gas short-circuiting” and “uneven contact” in traditional fluidized beds are uneven gas distribution and localized high gas velocity leading to large bubbles.
Shinkai’s Solution
Whether using aeration cones or fluidizing pads, Shinkai’s porous materials enable “surface aeration” rather than traditional “point aeration.” This highly uniform gas distribution suppresses the formation of large bubbles at the source, promoting a shit towards the more ideal particulate or turbulent fluidization regimes. This significantly improves gas-solid contact efficiency, effectively avoids gas short-circuiting, and maximizes reaction rate and raw material utilization.
▶Solving the “Bridging” Problem: Aeration Cone Technology
Shinkai’s Solution: Aeration Cone Technology
We install specially designed porous metal aeration cones at the bottom of powder discharge vessels. These cones allow pressurized gas to enter the vessel evenly and controllably, fundamentally disrupting the “bridged” structures formed by forces like van der Waals forces. This not only pressurizes the powder bulk but also homogenizes it, reducing cohesion, thereby enabling smooth, unimpeded flow under gravity.
▶Eliminating the “Clogging” Problem: Ensuring Stable Pipeline Conveying
In high-pressure conveying pipelines, powders are prone to settling and accumulation, causing blockages that severely impact conveying efficiency.
Shinkai’s Solution: Pipe Aerator Technology
Shinkai integrates pipe aerators within the conveying pipeline. Gas permeates through their microporous structure, forming a uniform, thin air curtain along the aerator’s inner wall. This curtain keeps the powder immediately adjacent to the pipe wall in a suspended, fluidized state, effectively preventing accumulation and adhesion, and ensuring efficient, smooth conveying over long distances and under high pressure differentials.



▶ Our core advantages can be traced back to the superior performance of our materials:
✔ Precise Control: High permeability enables uniform gas distribution, optimizing fluidization quality from the source.
✔ Stability and Reliability: Shape stability, ability to withstand high pressure differentials, together with resistance to impact and alternating loads.
✔ High Tolerance: Corrosion resistance and capability to withstand operating temperature up to 900 ℃, suitable for extreme environments.

Our experienced engineering team, based on the core technologies above, has successfully developed a complete set of advanced powder conveying systems. Currently, numerous enterprises globally in industries such as coal gasification, silicon materials production, and catalyst manufacturing utilize our equipment for conveying various types of ultra-fine powders.If your industry requires a reliable system for handling ultra-fine powders, please feel free to contact us. We can not only provide fluidization products that balance customization and cost-effectiveness but also develop comprehensive, full-process solutions encompassing fluidization element design/selection, valve/instrument selection, and pipeline design.
References:
[1] Wang Yue, Ma Haitao, Pei Xutao, Zhang Yongmin, Wang Huan. Study on Fluidization Behavior of High-Density Particle Fluidized Beds [J]. Atomic Energy Science and Technology. 2025, XX(XX): XXXX.[2] Yang Hailun. Numerical Simulation Study on the Pneumatic Homogenization Process of Cement Powder [D]. Master’s Thesis, Wuhan University of Technology, 2011.

