La science qui fait « couler » les solides – La technologie de transport par fluidisation de poudres de Nanjing Shinkai (Partie 2)

Dans l’industrie, le traitement des matières pulvérulentes est une tâche fondamentale et cruciale. Ces poudres, bien qu’apparemment simples, constituent un système complexe triphasique : phase solide (les particules elles-mêmes), phase gazeuse (l’air interstitiel) et phase liquide (l’humidité ou d’autres liquides adsorbés à la surface des particules). Traiter ce type de matière de manière efficace et continue est un défi d’ingénierie de longue date.
La technologie de transport par fluidisation des poudres, en conférant aux poudres des propriétés macroscopiques semblables à celles d’un fluide, offre une solution technique puissante pour ce processus de transport.
Principe fondamental de la fluidisation
La fluidisation est un processus physique où des particules solides, sous l’effet d’un écoulement de fluide (généralement un gaz), sont soulevées et mises en suspension, faisant ainsi se comporter l’ensemble du lit de particules comme un fluide. Lorsque le gaz traverse le lit de poudre de bas en haut et que sa vitesse atteint une vitesse minimale de fluidisation Umf [1], la force de traînée ascendante exercée sur les particules équilibre leur propre poids.
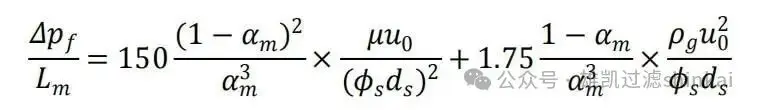
Selon la théorie classique de la perte de charge dans un lit fixe fluidisé, la vitesse minimale de fluidisation Umf est déterminée par :
Où Lm est la hauteur du lit (m) ; Δpf est la perte de charge par frottement (Pa) ; μg est la viscosité du gaz (kg/(m·s)) ; ρg est la densité du gaz (kg/m³) ; ds est le diamètre des particules (m) ; am est la porosité du lit ; u0 est la vitesse superficielle du gaz (m/s).
Pour les petites particules (Res,mf < 20) :
Pour les très grosses particules (Res,mf > 1000) :
Lorsque la vitesse des particules dépasse la vitesse minimale de fluidisation, elles peuvent se déplacer librement dans le lit. Le système entier entre en état fluidisé, présentant des comportements de fluide tels qu’une surface horizontale et la capacité de s’écouler par un orifice latéral. On parle alors de lit fluidisé. En dynamique des fluides numérique (CFD), la méthode d’Euler est une approche fondamentale pour décrire le mouvement des fluides. Appliquée au mouvement gaz-solide dans un lit fluidisé, elle est décrite ainsi [2] :
Avec l’augmentation continue de la vitesse du gaz, le lit fluidisé passe par une série de régimes d’écoulement distincts :
Classification de la fluidisation
  • Fluidisation particulaire (uniforme) :​ L’état le plus idéal. Les particules sont uniformément dispersées, sans bulles visibles.
  • Fluidisation agglomérante (à bulles) :​ La forme la plus courante dans les systèmes gaz-solide. L’excès de gaz traverse le lit sous forme de bulles.
  • Fluidisation en piston (slugging) :​ Les bulles coalescent pour former de gros bouchons. Stabilité opérationnelle médiocre, généralement évitée dans l’industrie.
  • Fluidisation turbulente :​ Les bulles se fragmentent intensément, améliorant notablement l’efficacité du contact gaz-solide. C’est la plage idéale recherchée pour les réacteurs industriels.
  • Fluidisation en jet (spouted bed) :​ Forme spéciale adaptée aux grosses particules, créant une fontaine centrale et une zone annulaire descendante.
La « double lame » de la fluidisation : Avantages et défis
Grâce aux comportements uniques décrits ci-dessus, les réacteurs à lit fluidisé occupent une place indispensable dans l’industrie moderne, mais présentent des avantages et des limites marqués.
Principaux avantages techniques
Processus continu et automatisé :​ Permet le transport, le mélange et la réaction continus de solides à grande échelle.
Uniformité et contrôlabilité de la température :​ Température uniforme dans le lit, adaptée aux réactions chimiques fortement exothermiques/endothermiques.
Taux de réaction très élevé :​ Surface de contact gaz-solide immense, améliorant significativement l’efficacité des réactions.
Production continue à grande échelle :​ Capable de traiter de grands volumes, écoulement fiable des matières, adapté à la production en continu.
Temps de séchage relativement courts :​ Interaction gaz-solide améliorée, augmentant l’efficacité du séchage, de l’agrégation ou des réactions.
Coûts de maintenance et d’exploitation réduits :​ Réduction de la consommation de carburant, amélioration de l’opérabilité et de la maintenabilité des équipements.
Défis et limites principaux
Important rétromélange :​ Mélange des produits de réaction avec la charge, réduisant le taux et la sélectivité de la réaction.
Difficulté à établir un gradient de température :​ Limite les procédés nécessitant un contrôle de température par zones.
Usure et érosion des particules :​ Augmente les investissements en équipements et les coûts opérationnels.
Élément clé de la fluidisation : Le double rôle et le contrôle des bulles
Dans un système fluidisé, les bulles sont le facteur fondamental déterminant le comportement global du système, incluant ses propriétés mécaniques, de transfert de chaleur, de transfert de matière et de réaction chimique.
Effets positifs
Renforcement des transferts de chaleur, de matière et des réactions :​ Le mouvement des bulles favorise les échanges interphasiques.
Promotion du mélange des particules :​ Le sillage des bulles est le principal moteur du mélange axial des particules dans le lit.
Effets négatifs
Court-circuit du gaz :​ Des bulles trop grandes réduisent l’utilisation efficace du gaz.
Contact inégal :​ La séparation entre la phase bulle et la phase émulsion limite l’efficacité du contact gaz-solide.
Par conséquent, pour maximiser les avantages du lit fluidisé et surmonter ses limites, le contrôle précis du comportement des bulles est un élément central de la technologie de transport par fluidisation des poudres.
La solution Shinkai : Un contrôle précis de la fluidisation
Face aux défis intrinsèques des lits fluidisés, en particulier les effets négatifs des bulles et les problèmes d’agglomération, de voûtage et de colmatage lors du transport des poudres, l’ingénierie moderne offre des moyens de contrôle précis.
Le système de fluidisation et de traitement des poudres Shinkai est une solution représentative pour ces conditions opératoires sévères. Son principe clé est l’utilisation de matériaux poreux haute performance pour intervenir activement et optimiser le processus de fluidisation.
Supprimer les bulles à la source : Pour un contact réactionnel efficace
Les problèmes de « court-circuit du gaz » et de « contact inégal » dans les lits fluidisés traditionnels trouvent leur origine dans une distribution non uniforme du gaz, créant des vitesses locales élevées et donc de grosses bulles.
Solution Shinkai : Technologie de distribution gazeuse surfacique
Que ce soit avec un cône d’aération ou une trémie fluidisante, les matériaux poreux Shinkai permettent une « distribution gazeuse surfacique » et non une distribution « ponctuelle » traditionnelle. Cette distribution extrêmement uniforme du gaz supprime à la source la formation de grosses bulles, favorisant une transition du lit vers une fluidisation particulaire ou turbulente, plus proche de l’état idéal. Cela améliore notablement l’efficacité du contact gaz-solide, évite efficacement le court-circuit du gaz et maximise le taux de réaction et l’utilisation de la charge.
Résoudre le problème du « voûtage » : La technologie du cône d’aération
Dans des procédés comme la gazéification de poudres sous pression, les particules micrométriques dans les silos ou trémies de déchargement ont tendance à s’agglomérer sous l’effet des forces interparticulaires, créant des « voûtes » qui interrompent l’écoulement.
Solution Shinkai : Technologie du cône d’aération
Shinkai installe des cônes d’aération en matériau poreux spécialement conçus au fond des trémies de déchargement. Ils permettent à un gaz sous pression de pénétrer de manière uniforme et contrôlée dans la trémie, brisant fondamentalement les structures de « voûtage » formées par les forces de Van der Waals, etc. Cela ne met pas seulement la poudre sous pression de façon homogène, mais l’homogénéise également, réduisant sa cohésion interne. Sous l’effet de la gravité, un écoulement fluide et sans obstacle est ainsi obtenu.
Éradiquer le fléau du « colmatage » : Garantir un transport stable dans les conduites
Dans les conduites de transport sous haute pression, les poudres ont tendance à se déposer et à s’accumuler, provoquant des colmatages qui affectent gravement l’efficacité du transport.
Solution Shinkai : Technologie des purgeurs de conduites
Shinkai intègre des purgeurs de conduites à l’intérieur même des lignes de transport. Le gaz traverse leur structure microporeuse interne, créant un mince rideau gazeux uniforme sur la paroi interne du purgeur. Ce rideau gazeux maintient les particules de poudre en contact avec la paroi dans un état fluidisé et en suspension, empêchant efficacement l’accumulation et l’adhésion. Il garantit ainsi un transport efficace et fluide des matières sur de longues distances et sous de fortes différences de pression.
L’avantage central de la technologie Shinkai réside dans les performances exceptionnelles de ses matériaux :
Contrôle précis :​ Haute perméabilité, permettant une distribution gazeuse uniforme pour optimiser la qualité de la fluidisation dès la source.
Stabilité et fiabilité :​ Forme stable, capable de supporter de fortes différences de pression, résistant aux chocs et aux charges alternées.
Grande tolérance :​ Résistance à la corrosion, capable de supporter des températures de service allant jusqu’à 900°C, adapté aux environnements extrêmes.
Chez Shinkai, notre équipe d’ingénieurs expérimentés, s’appuyant sur les technologies clés décrites ci-dessus, a déjà développé avec succès un ensemble complet de systèmes avancés de transport de poudres. Actuellement, de nombreuses entreprises mondiales dans les secteurs de la gazéification du charbon, de la production de matériaux à base de silicium et de la fabrication de catalyseurs utilisent nos équipements pour transporter divers types de poudres ultrafines.
Si votre secteur d’activité a besoin d’un système fiable pour traiter des poudres ultrafines, n’hésitez pas à nous contacter. Nous pouvons non seulement vous fournir des produits de fluidisation à la fois personnalisés et économiques, mais aussi développer sur mesure des solutions complètes couvrant la conception et la sélection des éléments de fluidisation, l’ingénierie du procédé, la sélection des vannes et instruments, et la conception des réseaux de tuyauterie.
Contact
Get a quote Ask an engineer Customer service